Дизелем называют ДВС с внутренним смесеобразованием, в котором тяжелое жидкое топливо, вводимое в распыленном состоянии в цилиндр в конце хода сжатия, самостоятельно воспламеняется в горячем сжатом воздухе. Основными понятиями, относящимися ко всем дизельным двигателям, являются (рис. 17):
- верхняя мертвая точка (ВМТ) – положение поршня, при котором он наиболее удален от оси коленчатого вала;
- нижняя мертвая точка (НМТ) – положение поршня наиболее близкое к оси коленчатого вала;
- ход поршня S , [м] – расстояние между ВМТ и НМТ: S = 2R ;
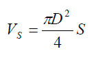
- рабочий объем цилиндра VS , [м3] – объем, описываемый поршнем при движении между ВМТ и НМТ :

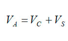
- объем камеры сжатия VC , [м3] – объем цилиндра над поршнем при нахождении его в ВМТ;
- полный объем цилиндра VA , [м3] – сумма рабочего объема цилиндра и объема камеры сжатия:

Принцип действия четырехтактного дизеля
Рабочий цикл в цилиндре четырехтактного дизеля осуществляется за два оборота коленчатого вала (4 хода поршня). Цилиндр четырехтактного дизеля закрыт крышкой, в которой располагаются клапаны для впуска свежего заряда воздуха и выпуска продуктов сгорания (рис. 18). Впускные и выпускные клапаны удерживаются в закрытом положении пружинами и давлением, создаваемым в цилиндре в периоды сжатия, сгорания топлива и расширения. Открытие клапанов в необходимые моменты времени осуществляется с помощью газораспределительного механизма.
Рабочий цикл четырехтактного дизеля состоит из следующих процессов (тактов): впуска, сжатия, расширения (рабочего хода) и выпуска, и происходит следующим образом (рис. 18):
Первый такт – впуск. В начальный момент времени давление в цилиндре двигателя несколько выше атмосферного – точка 1 индикаторной диаграммы (рис. 18). Поршень из ВМТ начинает свое движение к НМТ, открывается впускной клапан и поршень всасывает в цилиндр свежий заряд воздуха (процесс 1− 2). При этом давление в цилиндре устанавливается чуть ниже атмосферного (для двигателей без наддува) за счет гидравлического сопротивления впускного клапана. Часто для увеличения массы свежего заряда воздух предварительно сжимают в компрессоре до избыточного давления 0,13 ÷ 0,4 МПа, а затем охлаждают в воздухоохладителе. Такое увеличение массы свежего заряда называется наддувом.
Второй такт – сжатие. Поршень из НМТ начинает движение к ВМТ. Впускной клапан закрывается и происходит сжатие воздуха, поступившего в цилиндр дизеля. При этом уменьшается объем заряда воздуха, повышается его давление (процесс 2 − 3 ) до 3,6 ÷ 4,0 МПа в дизелях без наддува, а при высоком наддуве – до 11,0 МПа, что сопровождается увеличением температуры воздуха до 500 °C и выше. В конце такта, при нахождении поршня вблизи ВМТ, в цилиндр через форсунку начинает поступать мелко распыленное топливо, которое от соприкосновения с горячим воздухом самовоспламеняется и начинает гореть. При сгорании топлива давление в цилиндре повышается до 5,5 ÷ 8,5 МПа в дизелях без наддува, и до 11,0 ÷ 14,5 МПа в дизелях с высокой степенью наддува. Процесс сгорания ~ 40 % топлива в конце такта сжатия близок к изохорному (изображен на индикаторной диаграмме линией 3 − 4 ) и происходит при нахождении поршня вблизи ВМТ.
Третий такт – расширение (рабочий ход). В начале такта расширения топливо продолжает поступать в цилиндр дизельного двигателя, и процесс сгорания ~ 60 % топлива при начале движения поршня от ВМТ к НМТ близок к изобарному (процесс 4 − 5 на диаграмме). По окончании сгорания топлива происходит расширение продуктов сгорания (процесс 5 − 6 на индикаторной диаграмме). Расширяющиеся продукты сгорания воздействуют на поршень, совершая полезную работу. Давление газов в цилиндре двигателя и их температура в ходе процесса расширения понижаются.
Четвертый такт – выпуск. По окончании хода расширения открывается выпускной клапан, и поршень начинает движение от НМТ к ВМТ. При этом происходит выпуск отработавших газов через выпускной клапан (процесс 6 −1 на индикаторной диаграмме). Давление в цилиндре в процессе выпуска газов несколько выше атмосферного за счет гидравлического сопротивления выпускного клапана.
Таким образом в четырехтактном дизельном двигателе полезным является только такт расширения (рабочий ход), остальные три такта осуществляются за счет кинетической энергии вращающегося коленчатого вала с маховиком и работы других цилиндров двигателя.
Процессы газообмена в цилиндре дизельного двигателя (фазы газораспре-деления) могут быть изображены на двух окружностях, обозначающих периоды открытия впускных и выпускных клапанов в функции угла поворота коленчатого вала. Такие диаграммы называются диаграммами газораспределения или круговыми диаграммами.
В 4-хтактных дизелях на газообмен отведено 550 ÷ 570 градусов поворота коленчатого вала (ПКВ). Процесс газообмена в четырехтактных дизелях можно разбить на следующие периоды (рис. 19):
Свободный выпуск – осуществляется за счет разницы атмосферного давления и давления в цилиндре двигателя в момент открытия выпускного клапана (линия О − А диаграммы). При этом газы с большой скоростью устремляются в выпускной патрубок двигателя. Продолжительность периода свободного выпуска примерно соответствует углу предварения открытия выпускного клапана (ϕ1 = 40 ÷ 50° ПКВ). Тепловая и кинетическая энергия выпускных газов, как правило, используется для привода турбокомпрессора или работы утилизационных котлов.
Принудительный выпуск – теоретически начинается в НМТ и заканчивается в ВМТ. Это принудительное выталкивание продуктов сгорания из цилиндра телом поршня.
Продувка – в конце хода выпуска открывается впускной клапан (линия О − С , ϕ 3 = 50 ÷ 60° ПКВ до ВМТ), а выпускной остается открытым. При двух открытых одновременно клапанах происходит продувка камеры сгорания воздухом и удаление оставшихся в цилиндре газов. Кроме того, продувка снижает температуру стенок камеры сгорания, поршня и выпускных клапанов, улучшая условия работы и увеличивая срок их службы. Продолжительность продувки составляет ~ 110 ° ПКВ.
Наполнение – теоретически начинается в ВМТ, а фактически – с момента закрытия выпускного клапана (линия O − D , ϕ 4 = 50 ÷ 55° ПКВ за ВМТ) и частично протекает одновременно с продувкой. Окончание наполнения совпадает с приходом поршня в НМТ.
Дозарядка – поршень движется вверх по ходу сжатия, а впускной клапан некоторое время остается открытым до момента, соответствующего линии O − B на диаграмме (ϕ 2 = 30 ÷ 40° ПКВ после НМТ). Воздух продолжает поступать в цилиндр по инерции и несколько увеличивает плотность заряда в цилиндре.
Принцип действия двухтактного дизеля
Из рассмотрения индикаторной диаграммы четырехтактного дизельного двигателя видно, что он только половину времени, затраченного на цикл, работает как тепловой двигатель (такты сжатия и расширения). Остальное время (такты впуска и выпуска) двигатель работает как воздушный насос. Более полно время, отводимое на рабочий цикл, используется в двухтактных дизелях, в которых рабочий цикл осуществляется за один оборот коленчатого вала. Необходимая замена отработавших газов свежим воздухом происходит на небольшой части хода поршня в конце такта расширения и в начале такта сжатия, и составляет примерно 140 ÷ 150 ° ПКВ.
В отличие от четырехтактного, в двухтактном дизеле вместо впускных и выпускных клапанов в стенке цилиндра выполнены впускные (продувочные) ПО и выпускные ВО окна (рис. 20). Продувочным насосом ПН воздух нагнетается в воздушный ресивер Р, и через продувочные окна ПО поступает в цилиндр двигателя. Продукты сгорания топлива покидают цилиндр через выпускные окна ВО и выпускной патрубок ВП. Открытие и закрытие продувочных и выпускных окон осуществляется телом поршня при его движении в цилиндре.
Рабочий цикл двухтактного дизеля изображен на рис. 21 и состоит из следующих тактов:
Первый такт – сжатие. Поршень находится в НМТ. Продувочные и выпускные окна полностью открыты. При этом происходит продувка цилиндра, продолжающаяся до тех пор, пока поршень, двигаясь вверх, не перекроет продувочные окна (процесс 7 − 6 на диаграмме). При последующем движении поршень закроет выпускные окна, причем в период, изображенный на диаграмме линией 6 −1, из цилиндра выталкивается часть свежего заряда воздуха. После закрытия поршнем выпускных окон, начинается сжатие воздуха, сопровождающееся повышением давления и температуры (процесс сжатия изображен на диаграмме линией 1− 2 ). При подходе поршня к ВМТ в цилиндр впрыскивается мелко распыленное топливо, которое воспламеняется от соприкосновения с горячим воздухом. Часть топлива (~ 40 %) сгорает при постоянном объеме при нахождении поршня вблизи ВМТ (процесс 2 − 3).
Второй такт – рабочий ход (расширение). Поршень начинает движение от ВМТ к НМТ. Оставшаяся часть топлива (~ 60 %) сгорает при постоянном давлении (процесс 3 − 4 ). После полного сгорания топлива происходит расширение горячих газов (линия 4 − 5 ), которое заканчивается, когда поршень своей кромкой откроет выпускные окна в точке 5. С этого момента начинается свободный выпуск отработавших газов, сопровождающийся резким понижением давления в цилиндре (процесс 5 − 6 ). В точке 6 поршень открывает продувочные окна и начинается продувка цилиндра – принудительное вытеснение из него потоком воздуха отработавших газов и заполнение свежим зарядом воздуха (процессы 6 − 7 и 7 − 6 на диаграмме).
Теоретически при одинаковых размерах цилиндра и равных числах оборотов в минуту двухтактный дизель может развивать мощность в 2 раза большую, чем четырехтактный. В действительности мощность двухтактного дизеля (при прочих равных условиях) больше лишь в 1,7 ÷ 1,8 раза, чем у четырехтактного, так как часть хода поршня затрачивается на процессы выпуска и продувки. Кроме того на привод навешенного на двигатель продувочного насоса затрачивается 6 – 8 % мощности двигателя.
Весь процесс газообмена двухтактного дизеля можно условно разделить на следующие периоды (рис. 22):
Свободный выпуск – начинается с момента открытия поршнем выпускных окон (линия О − b ) и заканчивается в момент открытия поршнем продувочных окон (линия O − d ). В этот период происходит интенсивный выброс отработавших газов в выпускной тракт за счет перепада давлений в цилиндре (~ 0,45 МПа) и в выхлопном патрубке (~ 0,14 МПа).
Принудительный выпуск и продувка – начинаются в точке d и заканчиваются в момент закрытия продувочных окон (линия O − d ′ ). При этом происходит принудительное вытеснение отработавших газов продувочным воздухом и одновременное заполнение цилиндра свежим зарядом.
Потеря заряда воздуха – объясняется тем, что верхние кромки выпускных окон расположены выше продувочных. Поршень при движении к ВМТ до момента закрытия выпускных окон (линия O − a ) успевает вытолкнуть через выпускные окна часть поступившего в цилиндр воздуха. Фаза потери заряда воздуха является нежелательной, поэтому существует ряд конструктивных решений для замены ее на фазу дозарядки. Например, вместо щелевой схемы продувки, описанной выше, используют прямоточную клапанно-щелевую схему. В таких конструкциях дизелей выпускные окна отсутствуют, а вместо них в крышке цилиндра устанавливается выпускной клапан, приводимый в действие от механизма газораспределения.
Литература
Судовые энергетические установки. Дизельные и газотурбинные установки. Болдырев О.Н. [2003]