Основные понятия. Классификация передач
Передача мощности от главного двигателя на движитель судна может осуществляться напрямую при равенстве частот вращения выходного вала главного двигателя и движителя, либо через один из видов передачи, при частоте вращения выходного вала главного двигателя большей, чем оптимальная частота вращения движителя.
Основным типом движителя для водоизмещающих судов различных типов и классов является гребной винт фиксированного или регулируемого шага. Оптимальные частоты вращения гребного винта, исходя из условий возникновения кавитации и обеспечения максимального КПД, лежат в диапазоне 100 ÷ 350 об/мин. Из всех типов судовых энергетических установок аналогичный диапазон скоростей вращения выходного вала способны обеспечить только малооборотные дизельные двигатели. При имеемых скоростях вращения выходных валов СОД ( n = 350 ÷ 750 об / мин ) и ВОД ( n = 750 ÷ 2500 об / мин ) необходимо применение понижающей передачи. Скорости вращения выходных валов паротурбинных и газотурбинных установок имеют еще более высокие значения, чем у ДЭУ: для паровых турбин – до 6000 ÷ 8000 об / мин , для ГТУ – до 18000 об / мин . Для этих видов СЭУ передачи различных типов являются неотъемлемой энергетической установки.
Исходя из изложенного, можно сделать вывод, что передача является промежуточным звеном между главным двигателем и движителем судна. Помимо функции передачи мощности и снижения числа оборотов, в некоторых установках передача может осуществлять изменение направления вращения гребного вала на противоположное и быстрое отсоединение двигателя от гребного вала. Кроме этого, от главной передачи во многом зависят массогабаритные, экономические и эксплуатационные показатели энергетической установки.
Современные судовые передачи имеют ряд особенностей, к которым относятся их способность передавать вращающий момент и частоту вращения без изменения их значений, изменять только частоту вращения или совместно оба показателя – и вращающий момент и частоту вращения. Эти особенности могут быть оценены следующими показателями:
1. Коэффициентом трансформации вращающего момента:
где: М1 – вращающий момент на входном валу (валу двигателя); М2 – вращающий момент на выходном валу.
2. Передаточным числом:
где: n1 – частота вращения входного вала (вала двигателя); n2 – частота вращения выходного вала.
С помощью этих показателей можно выразить величину КПД передачи, как отношение мощности на выходном валу к мощности на входном валу:
где: N1 – мощность на входном валу (эффективная мощность двигателя); N2 – мощность на выходном валу передачи.
Все передачи, в зависимости от изменения рассмотренных показателей при различных режимах работы двигателей и движителей, можно разделить на три группы:
1. Передачи, обеспечивающие при всех условиях работы движителя и двигателя постоянство коэффициента трансформации момента и передаточного числа:
Такие условия характерны для односкоростных механических передач, к которым относятся зубчатые редукторы, кулачковые и фрикционные муфты, шинно-пневматические муфты. Наиболее простым вариантом такой передачи является прямая передача – непосредственное соединение двигателя с валопроводом.
2. Передачи, обеспечивающие при всех условиях работы двигателя и движителя постоянство коэффициента трансформации момента и переменное передаточное число:
К этим видам передач относятся гидродинамические и электромагнитные муфты скольжения.
3. Передачи, обеспечивающие одновременную изменяемость передаточного числа и коэффициента трансформации момента:
Одновременное изменение обоих показателей при различных условиях работы двигателя и движителя можно осуществить в гидротрансформаторах, гидростатических системах, электрических передачах, а также в многоскоростных зубчатых редукторах. При этом гидротрансформаторы и электропередачи могут обеспечивать плавное изменение передаточного числа и коэффициента трансформации момента, а многоступенчатые редукторы – только ступенчатое.
В зависимости от типа установки и назначения судна, в составе СЭУ могут применяться следующие виды передач:
- прямые или непосредственные передачи ( i = 1; К = 1);
- передачи без трансформации передаваемой энергии, к которым относятся все виды механических передач: зубчатые (редукторные), цепные и т.д., в которых энергия между отдельными звеньями передается только механическим способом;
- передачи с трансформацией энергии, к которым относятся электрические и гидравлические передачи;
- комбинированные передачи, в состав которых входят различные сочетания элементов, относящихся к перечисленным выше (т.е. сочетание механической передачи с электрической или гидравлической).
Механические передачи
Механические редукторные передачи являются основным видом механических передач, применяемых в судовых условиях. Зубчатые редукторы являются неотъемлемой частью судовых паро- и газотурбинных установок (за исключением судов с электродвижением и, в некоторых случаях, неводоизмещающих судов с воздушными винтами в качестве главного движителя). На судах с ДЭУ (дизельная энергетическая установка) широкое распространение, благодаря хорошим массогабаритным показателям, получили дизель-редукторные агрегаты, в состав которых входят один или несколько ВОД (высокооборотный дизель) или СОД (среднеоборотный дизель) и механический редуктор.
Основными преимуществами зубчатых механических передач являются относительно малые потери мощности, компактность (особенно при небольших передаточных отношениях) и высокая надежность. Зубчатые передачи, понижающие частоту вращения вала двигателя, называются редукторами, повышающие частоту вращения вала – мультипликаторами.
При большой разнице частот вращений главного двигателя и движителя, характерных для турбинных установок, передаточные числа находятся в диапазоне 20 ÷ 70. Однако при i ≥ 15 применение одноступенчатой передачи становится невозможным, так как зубчатое колесо получается слишком больших размеров. В таких случаях передача выполняется двухступенчатой. При этом общее передаточное число равно произведению передаточных чисел каждой ступени:
где:
i ICC и iIIСI - передаточные числа первой и второй ступеней редуктора;
RIСС и rIСС - радиусы начальных окружностей колеса и шестерни первой ступени редуктора, соответственно;
RIIСI и rIIСI - радиусы начальных окружностей колеса и шестерни второй ступени редуктора, соответственно.
Конструкции редукторных передач весьма разнообразны. Они могут выполняться: с прямым, косозубым или шевронным зацеплением: быть одно- и многоступенчатыми; выполняться с цилиндрическими и коническими шестернями и колесами; с внешним зацеплением (переборные редукторы), внутренним зацеплением, планетарным зацеплением (планетарные редукторы) и комбинированные (планетарно-переборные).
На рис. 47 показаны схемы одно- и двухступенчатого редукторов. Зубчатое колесо, передающее момент от двигателя, называется шестерней; зубчатое колесо, воспринимающее момент от шестерни – колесом редуктора. В двухступенчатых редукторах соответственно используются шестерня и колесо первой ступени, и шестерня и колесо второй ступени.
В составе установок турбинных судов имеющих, как правило, большие агрегатные мощности, для снижения нагрузок, передаваемых и воспринимаемых элементами редуктора (шестернями, колесами, торсионными валами) возможно использование редукторов с разделением потока мощности. Схема такого редуктора показана на рис. 48.
Вращающий момент на редуктор передается от турбин ТВД (турбина высокого давления) и ТНД (турбина низкого давления). Каждая турбина передает момент на свою шестерню первой ступени. Каждая шестерня первой ступени связана зацеплением с двумя колесами первой ступени, за счет чего поток мощности делится пополам между колесами и передается по торсионным валам на шестерни второй ступени. Все шестерни второй ступени передают момент на одно общее колесо второй ступени. Таким образом, на колесе второй ступени вращающие моменты от всех турбин (ТВД и ТНД) суммируются и передаются по выходному валу редуктора на линию вала судна. При необходимости дачи заднего хода вращающий момент от ТЗХ (турбина заднего хода) передается на шестерню первой ступени ТНД (ТЗХ обычно выполняется в одном корпусе с ТНД). При этом ротор ТВД вращается вхолостую.
К шестерням первой ступени редуктора присоединяются валоповоротное устройство, обеспечивающее проворачивание роторов турбин и валопровода, и тормоз, обеспечивающий стопорение роторов турбин.
К особенностям и преимуществам планетарных редукторных передач относятся соосность входного и выходного валов (т.е. вала двигателя и выходного вала) и меньшие, по сравнению с переборными, массогабаритные показатели. Планетарный редуктор состоит из трех основных звеньев: центральной (солнечной) шестерни, эпицикла с внутренним зубчатым зацеплением и водила, имеющего оси, на которых вращаются зубчатые шестерни – сателлиты (рис. 49). На этом же рисунке показаны передаточные отношения для каждого случая зацепления в зависимости от диаметров начальных окружностей солнечной шестерни и эпицикла.
Схема с неподвижным водилом отличается от остальных тем, что для нее направление вращения выходного вала является обратным по сравнению с валом двигателя.
Для увеличения передаточного отношения планетарные редукторы, как и переборные, могут выполняться двухступенчатыми. В этом случае при неподвижных эпициклах водило первой ступени приводит во вращение солнечную шестерню второй ступени. При этом еще более значительных преимуществ можно достичь при применении планетарных реверсивных редукторов, схема которого показана на рис. 50. В установках с реверс- редукторами, если они применяются в составе ГТУ или КТЭУ, отпадает необходимость в турбине заднего хода, за счет чего исключаются вентиляционные потери в неработающей части турбины, достигающие иногда значений 2 – 3 % от вырабатываемой мощности.
В рассматриваемой схеме планетарного реверс-редуктора эпицикл первой ступени соединен с солнечной шестерней второй ступени, а водило первой ступени с эпициклом второй ступени. Эпицикл и водило первой ступени имеют тормозные барабаны, с помощью которых как эпицикл, так и водило, могут быть остановлены. При остановленном тормозном барабане эпицикла первой ступени – ТБПХ , направление вращения выходного вала будет совпадать с направлением вращения вала двигателя. При остановленном тормозном барабане водила первой ступени – ТБЗХ, направление вращения выходного вала будет противоположным по сравнению с направлением вращения вала двигателя.
Потери мощности в зубчатых механических передачах являются минимальными, по сравнению с другими видами передач, и зависят от качества и чистоты обработки зубьев шестерен и подшипников, условий смазки зубчатого зацепления и подшипников, нагрузки, вентиляционных потерь при вращении шестерен.
В некоторых случаях в составе СЭУ могут использоваться разделительные передачи, когда мощность одного двигателя необходимо распределить между несколькими движителями (рис. 2 – в, г; рис. 3), и суммирующие передачи, когда на один движитель работает несколько главных двигателей (рис. 2 – а, б, е, ж; рис. 4; рис. 5 – а, б).
Гидравлические передачи
Гидравлическая передача представляет собой совокупность гидравлических механизмов, с помощью которых энергия ведущего вала (вала двигателя) передается ведомому (выходному) валу. Все передачи гидравлического типа можно разделить на следующие основные типы:
- гидродинамические передачи, в которых энергия от ведущего к ведомому валу передается за счет скоростного (динамического) напора циркулирующей рабочей жидкости. В этом случае основными составными элементами передачи являются центробежный насос и гидравлическая турбина, расположенные в непосредственной близости друг к другу. В зависимости от назначения и конструкции гидродинамические передачи подразделяют на гидродинамические муфты и гидродинамические трансформаторы;
- гидростатические (объемные) передачи, в которых энергия вращения ведущего вала преобразуется в гидравлическом насосе объемного типа в энергию давления рабочей жидкости. Рабочая жидкость по трубопроводу передается к гидромотору, в котором происходит обратное преобразование энергии давления жидкости в механическую энергию вращения выходного вала.
Схема работы гидродинамической муфты показана на рис. 51.
Колесо центробежного насоса жестко закреплено на ведущем валу двигателя. Для обеспечения герметичности гидромуфты колесо насоса с помощью болтов соединено с вращающимся кожухом, имеющим уплотнение по ведомому валу. Колесо гидротурбины насажено на ведомый вал и находится в непосредственной близости рядом с колесом насоса. Колеса насоса и турбины имеют плоские радиальные лопатки. Полость гидромуфты заполняется рабочей жидкостью, обычно – минеральным маслом.
Если гидромуфта заполнена рабочей жидкостью, то последняя, под действием центробежных сил при вращении колеса насоса, будет перемещаться вдоль лопаток от центра к периферии. При этом энергия вращения рабочего колеса преобразуется в кинетическую энергию потока жидкости. Из насосного колеса жидкость поступает на колесо гидротурбины, где, при силовом воздействии на лопатки гидротурбины, ее кинетическая энергия преобразуется в энергию вращения ведомого вала. Если из гидромуфты выпустить рабочую жидкость, то ведомый вал остановится при вращающемся ведущем вале. Герметичность гидромуфты обеспечивается уплотнениями валов относительно корпуса.
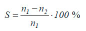
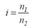
Вследствие отсутствия жесткой связи между рабочими колесами насоса и гидротурбины, частота вращения ведомого (выходного) вала всегда несколько меньше частоты вращения входного (ведущего) вала. Величину скольжения можно определить, как отношение вида:
где n1 и n2 – соответственно частота вращения ведущего и ведомого валов.
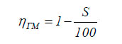
При полном заполнении гидромуфты рабочей жидкостью и номинальной нагрузке величина скольжения составляет 2 ÷ 3 %. При этом КПД гидромуфты определяется выражением:
и обычно находится в пределах 0,97 ÷ 0,98. При уменьшении наполнения муфты рабочей жидкостью величина скольжения увеличивается, а крутящий момент уменьшается.
При работе гидромуфты происходит постоянный нагрев рабочей жидкости, циркулирующей в рабочих колесах гидротурбины и насоса. Для поддержания температуры масла в допустимых пределах, гидромуфты оснащаются системами охлаждения рабочей жидкости.
Гидромуфты обладают следующими основными свойствами: независимостью вращения ведомого и ведущего валов; плавным троганием с места и плавным разгоном; ограничением крутильных колебаний; бесшумностью работы; высокой степенью надежности в эксплуатации; простотой автоматизации и управления.
Благодаря перечисленным положительным свойствам, гидромуфты находят широкое применение в судовых передачах и обеспечивают эластичную связь между двигателем и движителем. Наиболее часто гидромуфты применяют в дизельных энергетических установках в сочетании с зубчатыми передачами, или в сочетании с прямой передачей, когда существует необходимость быстрого отключения двигателя от линии вала.
Передачи с гидродинамическими трансформаторами имеют возможность изменения крутящего момента на выходном валу, а в некоторых случаях обеспечивают реверс ведомого вала. Схема и принцип действия гидротрансформатора показаны на рис. 52. От двигателя осуществляется привод ведущего вала, на котором закреплено рабочее колесо насоса. Основное отличие гидротрансформатора от гидромуфты состоит в том, что за рабочим колесом насоса перед гидротурбиной устанавливается неподвижный направляющий аппарат, жестко связанный с корпусом. В некоторых видах трансформаторов направляющий аппарат может устанавливаться после турбины перед колесом насоса, либо могут устанавливаться два направляющих аппарата одновременно. От формы лопаток направляющего аппарата зависит как передаваемый крутящий момент, так и направление вращения выходного вала. Некоторые варианты гидротрансформаторов могут выполняться с поворотными направляющими лопатками, позволяющими управлять величиной момента и направлением вращения выходного вала.
При соответствующих условиях работы направляющего аппарата вращающий момент на турбинном валу будет больше, чем на насосном валу. Изменение гидравлического момента при прохождении потока рабочей жидкости через направляющий аппарат происходит вследствие закручивания струи. Отношение вращающего момента турбинного вала к вращающему моменту насосного вала называется коэффициентом трансформации гидротрансформатора:
В зависимости от типа гидротрансформатора коэффициент трансформации колеблется в пределах К = 2÷6,5 .
Коэффициент полезного действия гидротрансформатора определяется выражением:
где
– передаточное число гидротрансформатора.
КПД гидротрансформаторов обычно находится в диапазоне 0,85 ÷ 0,92 на режимах переднего хода и 0,65 ÷ 0,7 на режимах заднего хода.
Применение гидротрансформаторов в судовых передачах позволяет обеспечить:
- редуцирование частоты вращения вала в диапазоне i = 1,2 ÷12 ;
- автоматическое изменение передаточного числа i в зависимости от нагрузки при практически постоянной частоте вращения вала главного двигателя;
- высокие тяговые характеристики, обусловленные возрастанием момента M2 на ведомом валу с уменьшением частоты вращения;
- отсутствие жесткой связи между ведущей и ведомой частями гидропередачи, что полностью исключает перегрузки двигателя и ударные воздействия на него со стороны движителя;
- высокие маневренные качества и низкий уровень шума передачи.
Основной проблемой при использовании гидротрансформаторов является сложность отвода большого количества тепла от рабочей жидкости при работе его на нерасчетных режимах.
Объемные гидростатические передачи применяют в СЭУ в тех случаях когда установка должна работать в условиях частого маневрирования (паромы, буксиры, катера и т.д.). При этом исключается протяженная линия вала, заменяемая магистральным трубопроводом с рабочей жидкостью. Гидростатическая передача состоит из насоса объемного типа, гидромотора и трубопроводов, соединяющих их. Гидромоторы и насосы обычно выполняются в виде однотипных многопоршневых механизмов с регулированием частоты вращения движителя за счет изменения расхода рабочей жидкости, подаваемой к гидромотору. В качестве насосов и гидродвигателей наиболее часто используются радиально-поршневые, аксиально-поршневые и пластинчатые гидромашины переменной производительности. Принцип действия гидравлических машин переменной производительности основан на регулировании хода рабочего органа (плунжера, поршня или пластины). При смещении вала относительно нейтрального положения, при котором производительность гидромашины равна нулю, происходит изменение величины хода рабочего органа и, соответственно, изменение объема перекачиваемой за один оборот вала жидкости. Схемы гидравлических машин (насосов и гидромоторов) переменной производительности и принцип их действия показаны на рис. 53.
Принципиальная схема гидростатической передачи показана на рис. 54. Двигатель приводит в действие насос переменной производительности. Рабочая жидкость по напорному трубопроводу поступает в гидромотор, связанный коротким гребным валом с движителем судна. Обороты гребного вала регулируются расходом рабочей жидкости в трубопроводе передачи. После гидромотора рабочая жидкость по сливному трубопроводу возвращается на всасывание насоса. Для обеспечения тепловых расширений рабочей жидкости при работе передачи, в системе может устанавливаться расширительный бак, являющийся одновременно цистерной для хранения рабочей жидкости.
Электрические передачи
В электрической передаче главный двигатель осуществляет привод генератора, вырабатывающего электроэнергию. Электроэнергия через коммутирующие и регулирующие устройства поступает к гребному электродвигателю, вращающему гребной вал.
Электрические передачи могут выполняться на постоянном и переменном токе, а также комбинированными – с генераторами переменного тока, ГЭД постоянного тока и безмашинными статическими преобразователями, преобразующими переменный ток в постоянный.
Электрические передачи на постоянном токе имеют более высокие маневренные характеристики, минимальное (по сравнению с передачами других типов) время реверса, обеспечивают высокие пусковые моменты и полное затормаживание линии вала с гребным винтом. Такие маневренные характеристики являются наиболее желательными для судов с высокой маневренностью: ледоколов, судов активного ледового плавания, буксиров, паромов и промысловых судов. В последнее время появились стойкие тенденции к широкому применению электродвижения и электрических передач постоянного тока в составе энергетических установок боевых кораблей ведущих флотов мира. Пропульсивные установки с электропередачами постоянного тока обеспечивают легкость и простоту схем маневрирования. Реверс и управление ГЭД производятся путем управления системой возбуждения генераторов, в которой используются токи относительно небольшой силы. Такие качества электрических передач постоянного тока позволяют создавать гибкие и надежные системы дистанционного управления движением судна.
Недостатками электрических передач постоянного тока являются большие массогабаритные показатели электромашин (генераторов и ГЭД), значительная стоимость и меньшая надежность по сравнению с электромашинами переменного тока.
По начальной стоимости, простоте конструкции, массогабаритным показателям, коэффициенту полезного действия электрические передачи на переменном токе превосходят передачи постоянного тока. Однако они лишены наиболее важного достоинства передач постоянного тока – улучшенных тяговых и маневренных характеристик. При этом системы управления изменением частоты вращения ГЭД переменного тока значительно сложнее, чем их аналоги для ГЭД постоянного тока. В силу этого электрические передачи переменного тока обычно применяют на судах, движители которых большую часть времени работают на постоянных режимах без значительных изменений скорости вращения, а также в сочетании с ВРШ.
Установки с электропередачами, в связи со значительными потерями, связанными с двукратным преобразованием энергии, по экономичности значительно уступают установкам с прямыми и механическими передачами. Величина потерь энергии в электрических передачах зависит от рода тока, мощности генераторов и электродвигателей и их конструкции. Средние величины потерь в электрических передачах приведены в таблице:
Установки с электрическими передачами обладают повышенной надежностью, так как в состав энергетической установки обычно входит несколько первичных двигателей. В случае выхода из строя части главных двигателей движение судна будет обеспечено с ограниченной скоростью под оставшимися в работе двигателями.
Так как электрогенераторы переменного тока имеют более простую конструкцию, меньшие массогабаритные характеристики, более высокие экономические показатели, более удобны в эксплуатации, чем генераторы постоянного тока, в последнее время все шире находят применение комбинированные электрические передачи, включающие в свой состав генераторы переменного тока, преобразователи тока и ГЭД постоянного тока. Такие электрические передачи позволяют в некотором роде совместить положительные свойства передач переменного тока с высокими тяговыми и маневренными характеристиками ГЭД постоянного тока. Однако необходимость использования сложных статических преобразователей электроэнергии снижает экономичность таких комбинированных передач и увеличивает их массогабаритные показатели.
Комбинированные передачи
В современных СЭУ достаточно редко можно встретить какой либо отдельный тип передачи. Более часто используется сочетание различных типов передач, которое позволяет наиболее полно использовать их положительные свойства и тем самым улучшить технико-экономические и эксплуатационные показатели СЭУ.
Наиболее часто встречающимися сочетаниями в комбинированных передачах являются гидрозубчатые передачи, включающие в свой состав гидравлическую передачу и механический редуктор, а также различные виды электромеханических передач.
Примеры гидрозубчатых передач показаны на рис. 55 – а, б. В первом случае два дизеля через суммирующий редуктор и гидротрансформатор работают на одну общую линию вала; во втором – два главных дизеля каждый через свой гидротрансформатор передают вращающий момент на один суммирующий редуктор, и далее на общую линию вала.
На рис. 55 – в, г показаны примеры электромеханических передач. В первом случае, с целью уменьшения массы ГЭД и удобства их взаимного размещения, применены четыре легких высокооборотных электродвигателя, работающих на один суммирующий редуктор. Во втором примере показано совмещение электрической передачи с прямой непосредственной передачей и МОД. Здесь возможны следующие варианты работы пропульсивной установки:
1) главный двигатель через муфту обеспечивает прямую передачу на линию вала и движитель судна; муфта ГЭД при этом отключена;
2) главный двигатель через муфту обеспечивает прямую передачу на линию вала и движитель судна; часть его мощности используется на выработку электроэнергии в ГЭД, работающем в режиме валогенератора (муфта ГЭД включена);
3) на линию вала судна через включенные муфты работают совместно главный двигатель и ГЭД, обеспечивая максимальную скорость движения судна. ГЭД при этом получает питание от дизельгенераторов;
4) Главный двигатель с помощью муфты отключен от линии вала. На линию вала работает только ГЭД, получающий питание от дизельгенераторов и обеспечивающий малые хода судна.
Литература
Судовые энергетические установки. Комбинированные и ядерные установки. Болдырев О.Н. [2007]