Основные химические и физические свойства морской воды

Основные химические и физические свойства морской воды

Солёность

Мировой океан содержит 96,5 % всей воды нашей планеты, и в его воде растворены практически все элементы, встречающиеся на Земле. Их общая масса составляет 48 × 1018 кг. Достаточно подробно солевой состав морской воды был исследован английским химиком Дитмаром, который имел в своем распоряжении 77 проб воды, собранных в различных частях Мирового океана и с различных глубин во время плавания «Челленджера» в 1872–1876 гг. Было установлено, что 99,9 % всех растворённых веществ приходится на первые 20 элементов таблицы Менделеева. Основные компоненты морской воды представлены в табл. 2.1 в форме солей.

В открытых частях Мирового океана процентное отношение основных компонентов солевого состава приблизительно постоянно (закон Дитмара), т. е. соотношения Na/Cl, К/Cl, SO4/Cl и Br/Cl являются константами. Это позволяет определять общую солёность по измерению одного из компонентов. Им является ион хлора Cl- , так как он составляет 55,3 % от общего количества и легко определяется.

Определение солёности. Истинная солёность должна быть определена как «отношение массы растворённого твёрдого вещества в морской воде к её массе». Однако это определение не используется, так как невозможно определить точное количество растворённых веществ. При выпаривании воды до сухого остатка требуется длительное нагревание, и на его последней стадии происходит разложение карбонатов и солей магния. Метод, дающий воспроизводимые результаты, был предложен группой исследователей, в которую входили М. Кнудсен, К. Соренсен, С. Форх [2]. Обезвоживание до постоянного веса производилось в среде хлора при температуре 480 °С. При этой процедуре органическая часть разлагается, карбонаты переходят в окислы, а бромистые и йодистые соединения — в хлориды.

Применение этого метода привело к следующему условному определению солёности: солёностью считается количество твёрдого вещества в граммах, содержащееся в 1 кг морской воды, когда карбонаты перешли в окислы, бромиды и йодиды заменены их хлористыми эквивалентами и органическая часть окислена. Использовать этот метод на практике для массовых определений солёности невозможно в виду его сложности. В настоящее время для определения солёности используются два метода: метод Мора — Кнудсена и определение солёности по электропроводности воды.

Метод Мора — Кнудсена основан на постоянстве солевого состава морской воды. В нем солёность определяется по содержанию иона хлора, которое легко найти осаждением галогенов из пробы морской воды азотнокислым серебром. Солёность обозначается символом S и измеряется в г/кг или промилле (0/00) по формуле:

где Cl — хлорозность (масса серебра, потребная для полного осаждения галогенов в 0,3285234 кг морской воды).

Попытки определять солёность по электропроводности предпринимались ещё в 1930-е гг. Однако многочисленные технические трудности удалось преодолеть только к 1970-м гг. Были созданы приборы (солемеры), позволяющие измерять электропроводность не только в лаборатории, но и in Situ (на месте в воде), что в настоящее время широко используется в практике экспедиционных исследований с использованием зондирующих комплексов, в частности СТД-зондов (солёность, температура, давление).

В 1978 г. для определения солёности по электропроводности была разработана Шкала практической солёности (ШПС–78).Она основана на эмпирической зависимости электропроводности растворов стандартной морской воды. Эталоном в этом методе является водный раствор хлористого калия (КCl) при температуре 15 °С и давлении в одну стандартную атмосферу (101325 Па). Солёность, измеренная по электропроводности, была названа практической солёностью. При написании практической солёности знак промилле (0/00) опускается. В отечественной литературе используется аббревиатура «eпc» (единицы практической солёности), в англоязычной — «psu» (practical salinity units) или «PSS–78» (practical salinity scale). Численные значения практической солёности совпадают с численными значениями солёности, выраженной в промилле.

Солёность большинства океанских вод заключена в пределах от 33 до 37 епс. Исключением являются воды приустьевых участков рек, бассейнов опреснения (Балтийское и Чёрное моря), где солёность значительно меньше, и бассейны осолонения (Средиземное и Красное моря), где солёность превышает 38 епс. В открытых районах Балтийского моря солёность около 10 епс, в Невской губе — 2–3 епс. В Чёрном море солёность вод 17,5–18 епс. Средняя солёность Мирового океана равна 34,72 епс. Наименьшая солёность поверхностных океанских вод 34,43 епс наблюдается между 5 и 10 градусами широты, как Северном, так и в Южном полушариях. С удалением к северу в Северном полушарии солёность увеличивается и достигает максимума на пространстве между 25 и 30 градусами северной широты. В Южном полушарии максимальная солёность наблюдается между 20 и 25 градусами южной широты. Это так называемые субтропические максимумы солёности со значением 35,8 0/00. С удалением к полюсам солёность уменьшается.

Плотность. Удельный объём

В океанографии параметр состояния «масса» при использовании заменяется параметром «плотность», а объём — удельным объёмом. Физическое понятие плотности — это масса единицы объёма. В случае однородного тела его плотность одинакова по всему объёму и может быть определена по формуле:

Так как в океанографии эти параметры используются во многих практических расчётах, то вместо абсолютных значений плотности и удельного объёма используются:

  • условная плотность (аномалия плотности);
  • условный удельный объём (аномалия условного удельного объёма).

Эта замена не имеет физического смысла и используется только для того, чтобы сократить число знаков при проведении вычислений. Рассмотрим это на примере: средняя плотность морской воды при атмосферном давлении, температуре 17 °С и солёности 34,5 eпc (0/00) равна: ρ (34.5; 17; 0) = 1025,15 кг∙м-3.

Условная плотность (аномалия плотности) обозначается обычно буквой σ и будет равна:

В толще воды существуют поверхности одинаковой плотности — изопикнические и поверхности одинакового удельного объёма — изостерические.

В зависимости от плотности воды изменяется осадка судна. Величина изменения дана в табл. 2.2.

Давление. Уравнение гидростатики

Давлением называется отношение силы, действующей по нормали к поверхности тела, к площади этой поверхности.

Если вода находится в состоянии равновесия, то давление — величина скалярная, т. е. оно одинаково во всех направлениях и не зависит от ориентации площадки ΔZ, на которую действует.

В толще воды океана, находящегося в состоянии покоя, давление на двух разных горизонтах будет отличаться на величину, равную ρgΔz, где ρ — плотность воды, g — ускорение силы тяжести, Δz — расстояние между горизонтами.

Таким образом, давление на глубине z будет равно:

Это выражение называется уравнением гидростатики.

Поверхности равного давления называются изобарическими.

В Международной системе единиц СИ за единицу давления принят паскаль (Па): 1 Па = 1 кг∙м-1∙с-2 = 1 н/м2

В океанологии долгое время применялись внесистемные единицы, которые применяются и поныне: 1 бар = 105 Па; 1 дбар = 104 Па.

Последняя единица очень удобна для применения, так как при изменении глубины на 1 м, давление изменяется на 1 дбар.

Поэтому очень часто в океанологии вместо глубины в метрах, глубину дают в величинах давления. Например: глубина в 1000 дбар ≈ 1000 м.

В единицах СИ:
1000 м = 10 000 000 Па = 10 000 кПа= 10 МПа,

где кПа — килопаскали; МПа — мегапаскали.

Температура морской воды

Измерение температуры производится косвенным путём, то есть измеряются физические свойства тел или материалов, которые зависят от температуры. В качестве начала отсчёта шкалы температуры и единицы её измерения применяются температуры перехода чистой воды из одного агрегатного состояния в другое, т. е. температура плавления льда (Т0) и кипения воды (Тк) при нормальном атмосферном давлении.

В океанографии температура измеряется в градусах шкалы Цельсия. Различают температуру in Situ, т. е. температуру, измеренную на определенной глубине, и потенциальную температуру — это температура частицы воды, адиабатически приведённая от давления в точке измерения к заданному давлению (например, поднятой на поверхность). Кроме градусов Цельсия применяется температура в единицах абсолютной шкалы Кельвина (°К). Шкала Кельвина начинается от абсолютного нуля, равного −273,15 0С, т. е.

Температура воды в океане изменяется в пределах от ~ −2 °С до ~ +30 °С. Нижний предел зависит от температуры замерзания, которая является функцией солёности морской воды. Вода солёностью 35 епс начнёт замерзать, когда её температура понизится приблизительно до −2 °С. Верхний предел зависит от теплообмена между океаном и атмосферой. В прибрежной мелководной зоне, в замкнутых морях температура может быть и больше 30 °С. Самая высокая среднегодовая температура воды наблюдается на пространстве между 5 и 10° с. ш. и равняется 27,4 °С (термический экватор). С удалением к северу и югу температура понижается и проходит через 0 °С (т. е. в область отрицательных температур) в Северном полушарии между 70 и 75° с. ш., а в южном — 60–65° ю. ш.

С глубиной температура воды убывает. В верхних слоях примерно до 1500 м характер убывания неодинаков и зависит от географической зоны. Однако, начиная с 1500 м, температура воды во всех океанах медленно понижается от 4–5 °С на верхней границе до 2–0 °С у дна. Исключение составляют полярные районы, которые имеют чётко выраженный промежуточный максимум в слое 300–500 м (1,75–1,83 °С) и подповерхностный минимум в слое 50–100 м (0,99–0,55 °С). На глубине 1500 м температура равна 1,14 °С. Изменение средних температур и солёностей воды с глубиной представлены в табл. 2.3.

Изменение средних температуры и солёности воды с глубиной в Мировом океане

Уравнение состояния морской воды

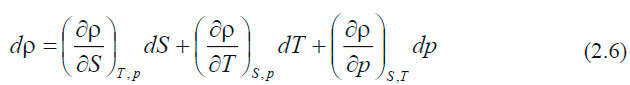
Зависимость, связывающая между собой плотность, температуру, солёность и давление, называется уравнением состояния морской воды.

В общем виде его можно записать так:

Это полный дифференциал плотности морской воды.

В настоящее время из-за сложности этой зависимости уравнение состояния морской воды не может быть найдено теоретически. Поэтому в практике расчётов используются эмпирические формулы. Однако эмпирические формулы также очень громоздки, что препятствует их непосредственному применению в теоретических моделях, которые применяются для изучения океанских течений. Поэтому часто используются более простые зависимости:

Литература

Гидрометеорологическое Обеспечение Мореплавания - Глухов В.Г., Гордиенко А.И., Шаронов А.Ю., Шматков В.А. [2014]

MirMarine
MirMarine – образовательный морской сайт для моряков.
На нашем сайте вы найдете статьи по судостроению, судоремонту и истории мирового морского флота. Характеристики судовых двигателей, особенности устройства вспомогательных механизмов и систем.