ГМССБ. Принципы морской радиосвязи

ГМССБ. Принципы морской радиосвязи

Радиочастоты и частотные диапазоны

Радиоволны представляют собой электромагнитные колебания, которые распространяется в пространстве со скоростью света (300 тысяч километров в секунду). Радиоволны характеризуются частотой и длиной волны.

Длиной волны называется расстояние, которое проходит волна за время одного периода колебания. Длину волны λ обычно выражают в метрах, сантиметрах или миллиметрах. Радиоволны можно характеризовать также частотой. Частота f радиоизлучения равна числу колебаний за секунду. Частота радиоволн задается в герцах (Гц), килогерцах (кГц), мегагерцах (МГц) или гигагерцах (ГГц).

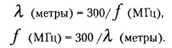
Длина волны и частота обратно пропорциональны друг другу. Длина волны λ и частота f связаны между собой следующими соотношениями:

где = 300 000 км/с - скорость света.

Есть более простые соотношения, связывающие длину волны, выраженную в метрах и частоту, выраженную в мегагерцах:

В соответствии со статьей 2 Регламента Радиосвязи радиочастотный спектр подразделяется на 9 диапазонов частот (даны номер диапазона, условное обозначение, диапазон частот, метрическое подразделение и сокращение):

Диапазоны радиочастот

В ГМССБ используются частоты 6 - 10 диапазонов. В каждом из этих диапазонов для морской подвижной службы выделены полосы частот. В неофициальной терминологии эти полосы имеют следующие названия:

  • средние волны (СВ): 415-535 кГц;
  • промежуточные волны (ПВ): 1605-4000 кГц (в данном диапазоне используются выделенные для морской подвижной службы полосы частот);
  • короткие волны (КВ): 4-27,5 МГц (в данном диапазоне используются выделенные для морской подвижной службы частоты в поддиапазонах 4, 6, 8, 12, 16, 18/19, 22 и 25/26 МГц);
  • ультракороткие волны (УКВ): 156-174 МГц.

В английской терминологии для обозначения средних и промежуточных волн используется аббревиатура MF (medium frequency), для коротких волн - HF (high frequency), а для ультракоротких волн - VHF (very high frequency).

Диапазон частот 1 - 2 ГГц называется L-диапазоном. В этом диапазоне работают судовые спутниковые станции ИНМАРСАТ.

Частота 406 МГц используется аварийным радиобуем (EPIRB) КОСПАС-SARSAT. Этот АРБ излучает также на второй частоте 121,5 МГц, которая используется воздушными поисковыми средствами для пеленгования.

Частоты в диапазоне 9,2 - 9,5 ГГц используются радиолокационными ответчиками (SART) для обнаружения судовыми РЛС 3-х см диапазона.

На рис.2.1 схематично показано расположение частот и частотных диапазонов, используемых в ГМССБ, и устройства, работающие на указанных частотах и в частотных диапазонах.

Частоты и устройства ГМССБ

Распространение радиоволн различных частотных диапазонов

Расстояние, на котором возможно установить радиосвязь, зависит от выбранной частоты, мощности передатчика, чувствительности приемника, типа и размещения антенной системы, условий распространения радиоволн. Для конкретного радиооборудования и антенн, установленных на судне, основным фактором, определяющим дальность связи, в подавляющем большинстве случаев является правильно выбранная частота (длина волны).

Передача радиосигналов осуществляется путем использования различных видов распространения радиоволн в атмосфере Земли:

  • вдоль земной поверхности посредством так называемой поверхностной волны (ground wave);
  • отраженных от верхних слоев атмосферы радиоволн (sky wave);
  • радиоволн, передаваемых через космические спутники-ретрансляторы.

В любом случае распространение радиоволн подчинено следующим закономерностям.

  • в однородной среде радиоволны распространяются прямолинейно;
  • в средах с неоднородными свойствами происходит рефракция радиоволн (отклонение их траектории от прямой);
  • на границах однородных сред с разными свойствами наблюдаются преломление и отражение радиоволн;
  • если на пути распространения встречаются препятствия, наблюдается дифракция (огибание препятствий);
  • в средах с пониженной прозрачностью происходит поглощение радиоволн.

Атмосфера состоит из трех основных областей, которые неодинаково влияют на прохождение радиоволн. Тропосфера - нижний слой атмосферы до высоты 18-20 км. Над ним до высоты 50-60 км находится стратосфера, и затем - самый протяженный слой - ионосфера, до высоты 1,5 тыс. км.

Основными свойствами земной поверхности, оказывающими влияние на распространение тропосферных поверхностных радиоволн, помимо ее рельефа, являются электропроводность и диэлектрическая проницаемость. При этом влияние неровностей сказывается в том случае, если их размеры соизмеримы с длиной волны, а конечные значения и приводят к частичному поглощению радиоволн. В радиолиниях, применяющих поверхностный луч, целесообразно использовать радиоволны СВ или нижней части ПВ диапазона. Дальность связи при этом может составить несколько сот миль.

Пространственные радиоволны за счет отражения от атмосферы, позволяют получить значительно большую дальность связи. Их отражение происходит от ионосферы, представляющей собой слой ионизированного газа. Его концентрация зависит от интенсивности излучения Солнца (11-летний цикл), от высоты, от времени года и суток. Наибольшая концентрация ионосферы в среднем приходится на высоту 400 км. В атмосфере различают три основные области (слоя): D (от 60 до 90 км), Е (от 90 до 120 км), F (от 120 км и выше). Днем, когда концентрация ионосферы максимальна, в составе слоя F выделяют области F1 (до высоты 240 км) и F2 (свыше 240 км). В ночное время слои F1 и F2 не имеют резкой границы, нижняя граница ионосферы поднимается до высоты 100 км, исчезает слой D. Слой F2 подвержен наиболее сильным изменениям и по своим характеристикам является наиболее нерегулярным.

При работе в канале связи с пространственным лучом необходимо учитывать простое правило: радиоволны с более высокими частотами отражаются от более высоких слоев ионосферы и наоборот. В связи с этим вводят понятие критической частоты f кр, при которой еще происходит отражение падающей волны. Ее значение зависит от угла падения волны и от уровня концентрации (следовательно, от высоты) отражающего слоя. В практике радиосвязи такая частота называется максимально применимой частотой (МПЧ) (Most Useable Frequency, MUF). Оптимальная рабочая частота (ОРЧ) выбирается на 15-20% ниже МПЧ. Поскольку затухание волны растет обратно пропорционально квадрату частоты, то снижение частоты нежелательно. Поэтому вводят понятие наименьшей применимой частоты (НПЧ), т.е. частоты, при которой для данной мощности передатчика напряженность поля в точке приема не менее заданной.

Радиоволны ПВ диапазона могут распространяться как поверхностным, так и пространственным лучом. Из-за значительного поглощения подстилающей поверхностью радиолинии, использующие поверхностную волну, могут иметь протяженность (150 - 200) миль. Ионосферная волна ПВ диапазона способна отразиться лишь при электронной концентрации, соответствующей слою Е. Поэтому днем, когда существует слой D, волна им полностью поглощается. Ночью, когда слой D отсутствует, радиолиния работает и на ионосферной волне, дальность связи при этом может возрасти в 2-2,5 раза.

Распространение радиоволн

Для коротких волн поверхностная волна из-за сильного поглощения оказывается пригодной для установления радиосвязи всего на несколько десятков километров. Основной практический интерес представляют пространственные волны. Причем электронные концентрации ионосферы, соответствующие отражению луча, лежат в области F2. Следует учитывать, что электронная концентрация слоя F2 существенно меняется от дня к ночи, сезонно и при различных несистематических возмущениях. Днем МПЧ растет, ночью - снижается. Поэтому существуют так называемые дневные - от 8 МГц и выше, и ночные - от 8 МГц и ниже частоты.

Радиоволны УКВ диапазона распространяются в виде тропосферной поверхностной волны, значительно поглощаются земной поверхностью, не огибают крупные препятствия, не отражаются от ионосферы, а проходят сквозь нее. Связь возможна только в пределах прямой видимости.

Рассмотрим правила выбора частот для организации радиосвязи на различные расстояния.

Для ближней связи (до 30 морских миль) используют УКВ диапазон. Дальность связи в данном случае зависит главным образом от высоты установки передающей и приемной антенн и может быть определена по приближенной формуле:

где D - дальность связи в морских милях; h1, h2 - высота установки передающей и приемной антенн в метрах.

Для связи на средних расстояниях (до 150 - 200 морских миль) используют радиоволны ПВ диапазона. При этом необходимо учитывать, что ночью в точку приема могут одновременно прийти поверхностная и пространственная волна или две пространственных волны. В обоих случаях в результате интерференции происходит усиление или ослабление уровня принимаемого сигнала. Это явление называют замиранием или "федингом". Для борьбы с ним необходимо уменьшить влияние пространственной волны, несколько понизив частоту.

На больших расстояниях (более 150 морских миль) используют КВ диапазон. Причем возможно установление линий связи за счет одного, двух и более переотражений (скачков) от ионосферы. Для КВ радиотрасс характерно наличие мертвых зон или зон молчания, в которых прием сигнала невозможен. Они возникают вследствие того, что поверхностная волна уже затухла, а пространственная достигает поверхности Земли в более удаленной точке. Для уменьшения протяженности мертвой зоны необходимо перейти на более низкую частоту. И, наоборот, для увеличения дальности связи частоту необходимо увеличивать, т.к. при этом поворот волны происходит от более высокой точки отражающего слоя. При работе в КВ диапазоне необходимо учитывать нарушения связи за счет резких изменений структуры и свойств слоя F, за счет повышенной ионизации слоя D, а также за счет интерференционных замираний. Основной способ борьбы с такими явлениями - своевременный маневр частотами.

В большинстве случаев для практической радиосвязи на различные расстояния в разное время года и суток можно руководствоваться данными, приведенными в таблице ниже:

Дальность радиосвязи в различное время года и суток

Свойства радиоволн, их зависимость от солнечной активности и пригодность для связи сведены в следующей таблице:

Свойства радиоволн различных частотных поддиапазонов

Использование частот в МПС и МПСС

Морская подвижная служба (МПС)- это служба радиосвязи между береговыми станциями и судовыми станциями, или между судовыми станциями, или между взаимодействующими станциями внутрисудовой связи; станции спасательных средств и станции радиомаяков - указателей места бедствия (SART) также могут участвовать в этой службе.

Морская подвижная спутниковая служба (МПСС) - это служба радиосвязи, в которой участвуют подвижные земные станции морских судов и космические станции, т. е. передача осуществляется через спутник.

МПС использует традиционные средства наземной радиосвязи в диапазонах СВ, ПВ/КВ и УКВ, а МПСС использует частоты в полосе 406-406,1 МГц в системе КОСПАС-САРСАТ и полосы частот в диапазонах 1,5 ГГц и 1,6 ГГц в системе ИНМАРСАТ.

В ГМССБ для связи в направлении судно-судно в МПС используют симплексную связь. При симплексной связи передача возможна попеременно в каждом из двух направлений связи. Симплексная связь осуществляется на одной частоте.

Дуплексная связь представляет собой способ связи, при котором передача возможна одновременно в обоих направлениях канала радиосвязи. Дуплексная связь используется для связи с береговыми станциями. Частота передачи береговой станции, спаренная с частотой передачи судовой станции, называется парной частотой. Каждой береговой станции присваивается одна или несколько пар частот, каждая пара имеет частоту для приема и частоту для передачи, которые образуют канал связи.

Полудуплексная связь - это способ симплексной связи на одном конце радиолинии и дуплексной связи на другом. Полудуплексная связь требует применения двух частот.

Для установления радиосвязи прежде всего делают вызов. В ГМССБ для вызова используют систему ЦИВ. Частоты, выделенные и используемые для вызова, называются вызывными частотами. Остальные частоты, на которых осуществляется дальнейший обмен, являются рабочими частотами.

Частоты для связи в случае бедствия и для обеспечения безопасности в ГМССБ из Регламента Радиосвязи приведены в табл. 2.1.

Частоты для связи в случае бедствия и для обеспечения безопасности в ГМССБ

В случае бедствия, срочности и безопасности всегда используют симплексные частоты. Частоты, используемые для радиосвязи с приоритетами бедствия, срочности и безопасности, приведены в таблице ниже.

Использование частот ЦИВ бедствия и безопасности для вызовов с обычным приоритетом запрещено.

Для обычных вызовов и работы по радиотелефону и радиотелексу следует использовать коммерческие частоты.

Вызывные (ЦИВ) и рабочие частоты (радиотелефон, радиотелекс) бедствия и безопасности

В спутниковой связи оператор не производит выбор частот или каналов. Все частоты назначаются автоматически береговыми земными станциями.

Защита частот бедствия и безопасности

Любое излучение, которое может создать вредные помехи связи в случае бедствия, срочности и для обеспечения безопасности на частотах, указанных в статье "Частоты для связи в случае бедствия и для обеспечения безопасности в ГМССБ" Регламента Радиосвязи, запрещается.

Предусмотрены защитные полосы для частоты 156,8 МГц (16 канал УКВ):

  • 156,7625-156,7875 МГц;
  • 156,8125-156,8375 МГц.

Все передачи в этих полосах запрещены. В диапазоне промежуточных волн в полосе 2173,5-2190,5 кГц запрещены все передачи, за исключением передач, разрешенных на несущей частоте 2182 кГц и на частотах 2174,5 кГц, 2177 кГц, 2187,5 кГц и 2189,5 кГц.

Передачи для проверки оборудования на частотах, выделенных для связи в случае бедствия и для обеспечения безопасности в ГМССБ, должны быть сведены до минимума; их следует координировать при необходимости с компетентным органом и по возможности проводить, используя эквивалент антенны, или с пониженной мощностью. При этом следует избегать испытаний на частотах вызова в случае бедствия и безопасности; однако когда этого не избежать, следует указывать, что это испытательная передача.

Прежде чем вести передачу на любой из частот, выделенных для связи в случае бедствия и для обеспечения безопасности, следует удостовериться, что на данной частоте не ведется передача сигналов бедствия. Это замечание не относится к случаю передачи судовой станцией вызова бедствия.

Модуляция и классы радиоизлучений

Для передачи сигналов по радио высокочастотный сигнал подвергают модуляции, т.е. изменению его параметров в соответствии с передаваемым сигналом. Основными видами модуляции являются: амплитудная (AM), частотная (ЧМ) и фазовая (ФМ). При AM изменяется мгновенная амплитуда высокочастотного колебания, а при ЧМ и ФМ - частота и фаза соответственно. Последние два вида модуляции относят к угловым видам модуляции. При угловой модуляции амплитуда радиосигнала постоянна. Примеры радиосигналов с различными видами модуляции представлены на рис. 2.3.

Виды модуляции радиосигналов

В настоящее время в ПВ и КВ диапазонах морской радиосвязи используют однополосную AM (SSB - Single Side Band) с полной (Full), ослабленной (Reduced) и подавленной (Suppressed) несущей, а в УКВ диапазоне -ЧМ и ФМ. По сравнению с двухполосной AM однополосная модуляция позволяет вдвое сократить занимаемую полосу частот и существенно улучшить энергетические показатели радиолинии. Это означает, что в выделенной полосе частот можно вдвое увеличить число каналов связи и при одной и той же мощности передатчика увеличить дальность радиосвязи в ПВ и КВ диапазонах.

В списках береговых радиостанций указываются частоты и классы радиоизлучений. Для установления радиосвязи необходимо не только правильно выбрать частоту, но и класс излучения.

Класс излучения - это совокупность характеристик излучения в виде установленных условных символов, обозначающих тип модуляции несущей частоты, характер модулирующего сигнала, тип передаваемых сообщений, а также (при необходимости) дополнительные характеристики сигнала.

Основными характеристиками являются:

1) первое обозначение (буква) - тип модуляции несущей частоты;

2) второе обозначение (цифра) - характер сигнала, модулирующего несущую частоту;

3) третье обозначение (буква) - тип передаваемой информации.

Далее приведены характеристики наиболее часто встречающихся в морской радиосвязи сигналов.

Первое обозначение в классе излучений

Излучения, при которых основная несущая модулируется по амплитуде (включая случаи, когда поднесущие имеют угловую модуляцию):

  • двухполосная (Double Side Band - DSB) - A
  • однополосная (Single Side Band - SSB) с полной несущей - H
  • однополосная с ослабленной несущей - R
  • однополосная с подавленной несущей - J

Излучения, при которых основная несущая имеет угловую модуляцию:

  • частотная модуляция - F
  • фазовая модуляция - G

Второе обозначение в классе излучений

  • Отсутствие модулирующего сигнала - 0
  • Один канал, содержащий квантованную или цифровую информацию без модулирующей поднесущей - 1
  • Один канал, содержащий квантованную или цифровую информацию при использовании модулирующей поднесущей - 2
  • Один канал с аналоговой информацией - 3

Третье обозначение в классе излучений

  • Телеграфия для слухового приема - А
  • Телеграфия для автоматического приема - В
  • Факсимиле - С
  • Передача данных, телеметрия - D
  • Телефония - Е

Полная классификация классов излучений дана в Регламенте Радиосвязи, глава 1, статья 4.

В ГМССБ находят применения следующие классы радиоизлучений:

  • НЗЕ - однополосная телефония с полной несущей (разрешена для использования только на частоте 2182 кГц);
  • J3E - однополосная телефония с подавленной несущей (телефония в ПВ/КВ диапазоне);
  • R3E - однополосная телефония с частично подавленной несущей;
  • G3E - телефония с фазовой модуляцией (УКВ диапазон);
  • F3E - телефония с частотной модуляцией (УКВ диапазон);
  • G2B - фазовая модуляция; один канал, содержащий цифровую информацию с использованием поднесущей (УКВ ЦИВ);
  • F1B - частотная модуляция несущей цифровым сигналом (УБПЧ, ЦИВ в ПВ/КВ диапазоне);
  • J2B - однополосная амплитудная модуляция с полностью подавленной несущей, один канал, содержащий цифровую информацию с использованием поднесущей (УБПЧ, ЦИВ в ПВ/КВ диапазоне).

Формирование радиоизлучений различных классов (для радиоэлектроников)

Радиосигналы АЗЕ, НЗЕ, R3E, J3E

Ранее в морской радиосвязи в ПВ/КВ диапазоне использовалась обычная (двухполосная) амплитудная модуляция. Спектр AM сигнала содержит гармонику на несущей частоте и две зеркальные боковые полосы - нижнюю и верхнюю. Применение такой модуляции не является целесообразным. Во-первых, большая мощность излучается на несущей частоте, которая сама по себе не содержит информации о модулирующем сигнале. В паузах и в режиме молчания передатчик излучает полную мощность, что невыгодно с энергетической точки зрения. Во-вторых, передаются две совершенно одинаковые боковые полосы. Это требует выделение излишне широкой полосы для одного канала.

Совершенствование техники радиосвязи привело к внедрению однополосной (Single Side Band, SSB) амплитудной модуляции. При однополосной AM передается только одна боковая полоса, что позволяет вдвое сократить занимаемую одним каналом полосу частот. Дополнительное подавление мощной гармоники на несущей частоте повышает энергетическую эффективность передатчика, так как в этом случае вся мощность передатчика приходится на информационную часть в спектре сигнала. При одинаковой средней мощности однополосная AM с подавленной несущей обеспечивает большую дальность радиосвязи, чем двухполосная AM. В настоящее время в морской радиосвязи используются только однополосные виды AM.

Сигналы классов АЗЕ, H3E, J3E

Излучение с полной несущей НЗЕ качественно не отличается от сигнала с двухполосной AM (класс излучения АЗЕ) и позволяет использовать амплитудное детектирование. На рис.2.4 видно, что огибающая высокочастотного сигнала для классов АЗЕ и НЗЕ совпадает по форме с модулирующим сигналом. Излучение класса НЗЕ применяется в настоящее время только на частоте бедствия 2182 кГц для обеспечения совместимости старой и новой радиоаппаратуры.

Сигнал с полностью подавленной несущей J3E существенно отличается от сигналов АЗЕ и НЗЕ. Его огибающая уже не совпадает по форме с модулирующим сигналом. Поэтому амплитудное детектирование здесь неприменимо. Работа с сигналом J3E требует использования современной радиоаппаратуры с высокостабильными синтезаторами частот. Класс излучения J3E является основным для телефонии в ПВ/КВ диапазоне.

Спектры радиотелефонных сигналов ПВ/КВ диапазона

Следует иметь ввиду, что при излучении J3E спектр передаваемых частот расположен в окрестности присвоенной частоты. Присвоенная частота стандартно на 1,4 кГц выше подавленной несущей частоты. Излучение на несущей частоте отсутствует. Осталось только название "несущая" частота от двухполосной амплитудной модуляции. Однако при настройке передатчика или приемника индикатор показывает значение именно отсутствующей "несущей" частоты, в то время как энергия радиосигнала сосредоточена в окрестности присвоенной частоты. Поэтому в списке частот КВ диапазона для J3E телефонии указывается кроме несущей частоты еще и присвоенная частота. Например, таблица частот первых пяти каналов для дуплексной работы в полосе 4 МГц выглядит так:

При выборе 401 канала береговая станция передает на частоте 4357 кГц, а судовая станция на этой частоте принимает. На приемопередатчике судовой станции при выборе 401 канала высвечивается значение приемной частоты 4357 кГц. В то же время реально сигнал передается на присвоенной частоте 4358,4 кГц. Присвоенная частота - это середина полосы частот, в которой разрешена передача станции. Для судовой станции индикатор настройки передатчика показывает частоту 4065 кГц, в то же время излучение происходит на присвоенной частоте 4066,4 кГц.

Разнос каналов составляет 3 кГц при необходимой ширине полосы частот 2,7 кГц.

Радиосигнал с частично подавленной несущей R3E содержит так называемый "пилот-сигнал" на частоте несущей. Пилот-сигнал может использоваться для автоматической подстройки частоты в тех случаях, когда наблюдается эффект Доплера, т.е. при связи с воздушными судами.

Радиосигналы F3E, G3E

Классы излучений F3E, G3E используются в УКВ радиотелефонии. Для телефонии в УКВ диапазоне применяется частотная модуляция с предыскажением 6 дБ на октаву. Это значит, что предварительно звуковой сигнал подвергается коррекции путем пропускания его через дифференцирующую цепь. Усиление такой цепи увеличивается в 2 раза (6 дБ) при возрастании частоты тоже в 2 раза (на октаву). Продифференцированный сигнал модулирует по частоте высокочастотный сигнал. Эта операция осуществляется генератором, управляемым напряжением (ГУН). По отношению к сигналу на входе ГУН на выходе передатчика получим частотную модуляцию (F3E). Так как мгновенная частота выражается через производную полной фазы, то по отношению к исходному микрофонному сигналу будем иметь фазовую модуляцию (G3E). Чтобы не создавать путаницы радиотелефонный сигнал в УКВ диапазоне обозначают как F3E/G3E.

Частотный спектр F3E/G3E сигнала занимает полосу частот 16 кГц при максимально допустимой девиации частоты 5 кГц и верхней частоте звукового сигнала 3 кГц.

Радиосигналы F1В, J2B

Классы излучений F1B и J2B используются для передачи сигналов цифрового избирательного вызова и радиотелекса в ПВ/КВ диапазоне. Излучение F1B подразумевает частотную модуляцию непосредственно несущей частоты f0 цифровым сигналом передаваемых данных. Такой способ применялся ранее в частотной телеграфии. Однако в этом случае технически затруднительно поддержание высокой стабильности частоты. (Абсолютная нестабильность частоты в ПВ/КВ диапазоне по требованиям не должна превышать 10 Гц). Поэтому в современных передатчиках используют для ЦИВ и радиотелекса класс излучения J2B.

Для излучения J2B первоначально модулируется по частоте некоторая вспомогательная частота (или поднесущая), равная 1,7 кГц.

Девиация частоты составляет Δf=85 Гц. Поддержание требуемой абсолютной нестабильности в 10 Гц для частоты 1,7 кГц осуществляется просто. Далее, полученный таким образом ЧМ сигнал используется в качестве модулирующего в тракте формирования однополосного сигнала. Или это можно трактовать как перенос спектра с центральной частотой 1,7 кГц в область высоких радиочастот на требуемую частоту f0. Спектры радиосигналов F1B и J2B (а также и сами сигналы во временной области) ничем друг от друга не отличаются. Поэтому для ЦИВ и радиотелекса используют обозначение F1B/J2B.

Формирование радиосигнала J2B

В предыдущем поколении радиоаппаратуры использовался класс излучения F1B. В современных передатчиках используют радиосигналы, как правило, класса J2B. В списке береговых станций сохранено традиционное обозначение F1B.

При девиации частоты 85 Гц и скорости передачи данных 100 Бод, принятой для ЦИВ и радиотелекса в ПВ/КВ диапазоне, ширина частотного спектра составляет 304 Гц. Здесь следует обратить внимание на то, что ширина спектра определяется не только девиацией, но и скоростью передачи данных. Чем выше скорость, тем шире спектр.

Радиосигнал G2B

Класс излучения G2B используется для ЦИВ в УКВ диапазоне. Этот радиосигнал также формируется в два этапа. Сначала по частоте модулируется поднесущая частота 1,7 кГц при девиации Δf =400 Гц и скорости данных 1200 Бод. Затем этот сигнал модулирует по фазе несущую частоту. Используется тот же метод получения фазомодулированного сигнала и тот же передающий тракт, что и для телефонного сигнала. В качестве звукового сигнала используется ЧМ поднесущая. После коррекции 6 дБ/октаву сигнал подается на ГУН, выступающий в роли частотного модулятора.

Необходимая ширина полосы

Для передачи каждой станции морской подвижной службы отводится определенная полоса частот - присвоенная полоса частот. Присвоенная полоса частот - это полоса частот, в которой разрешено излучение станции. Каждое радиоизлучение требует определенную или необходимую ширину полосы частот. Необходимая ширина полосы - это ширина полосы частот, которая достаточна при данном классе излучения для обеспечения передачи сообщений с заданной скоростью и качеством.

Присвоенная станции полоса частот всегда несколько шире необходимой ширины полосы частот радиоизлучения. Формулы для расчета необходимой ширины полосы частот рассмотренных классов радиоизлучений приведены ниже.

Здесь обозначены:

  • Вн - необходимая ширина полосы в герцах,
  • В - скорость данных в бодах (бит/сек),
  • М - максимальная частота модуляции в герцах,
  • L - нижняя частота модуляции в герцах,
  • D - пиковая девиация, т.е. половина разности между максимальным и минимальным значениями мгновенной частоты,
  • К - числовой коэффициент, зависящий от класса радиоизлучения.

Полное обозначение излучения в начале содержит необходимую ширину полосы. Необходимая ширина полосы должна выражаться тремя цифрами и одной буквой. Буква занимает положение запятой отделяющей целую часть от дробной в десятичной дроби и указывает единицу измерения полосы частот. Первый знак не должен быть ни нулем, ни буквой К, М, или G.

Необходимая ширина полосы:

  • от 0,001 до 999 Гц должна выражаться в герцах (буква Н);
  • от 1,00 до 999 кГц должна выражаться в килогерцах (буква К);
  • от 1,00 до 999 МГц должна выражаться в мегагерцах (буква М);
  • от 1,00 до 999 ГГц должна выражаться в гигагерцах (буква G).

Например:

8кГц = 8К00; 3,75МГц = ЗМ75; 13,5 кГц = 13К5; 2МГц = 2М00;

Далее идут три основных обозначения.

Четвертое (дополнительное) обозначение содержит подробные данные о сигнале.

Пятое (дополнительное) обозначение содержит характер уплотнения.

Например, обозначение 2K70J3EJN следует расшифровывать следующим образом:

  • 2К70 - необходимая ширина полосы частот 2,7 кГц;
  • J3E - однополосная амплитудная модуляция с подавленной несущей частотой, аналоговый сигнал, телефония;
  • JN - передача звука с приемлемым для коммерческой связи качеством, без уплотнения (дополнительные характеристики излучения).

Контрольные вопросы

  • 1. Как связаны между собой частота и длина радиоволны? Какова примерно длина радиоволны в УКВ диапазоне?
  • 2. Назовите границы частотных диапазонов: УКВ, СВ, ПВ, КВ.
  • 3. Каков характер распространения УКВ радиоволн и дальность радиосвязи в этом диапазоне? Какие факторы влияют на дальность УКВ радиосвязи?
  • 4. Какой тип радиоволн используется в ПВ диапазоне? Какова дальность связи в ПВ диапазоне и от каких факторов она зависит?
  • 5. Каким типом радиоволн осуществляется радиосвязь в КВ диапазоне? От каких факторов зависит дальность КВ радиосвязи? Как выбираются частоты для дальней связи?
  • 6. Дайте понятие дуплексной и симплексной связи.
  • 7. Какие частоты используют для вызовов бедствия в различных частотных диапазонах?
  • 8. Что такое модуляция радиосигнала? Назовите основные виды модуляции.
  • 9. Дайте характеристику классам радиоизлучений, используемых в ГМССБ.
  • 10. Как формируются радиосигналы классов излучения НЗЕ, J3E, FIB, J2B, F3E, G3E, G2B? (для РЭ)
  • 11. Как рассчитывается необходимая ширина полосы частот? (для РЭ)

Литература

Глобальная морская система связи для безопасности мореплавания ГМССБ (GMDSS) - А.В. Шишкин, В.И. Купровский, В.М. Кошевой [2007]

MirMarine
MirMarine – образовательный морской сайт для моряков.
На нашем сайте вы найдете статьи по судостроению, судоремонту и истории мирового морского флота. Характеристики судовых двигателей, особенности устройства вспомогательных механизмов и систем.