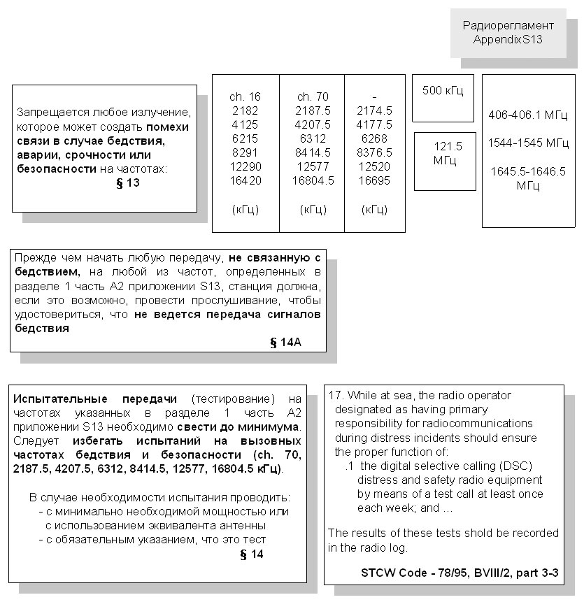
Частоты для связи в случае бедствия и для обеспечения безопасности

Классификация частот

Классификация частот

Защита частот для связи в случае бедствия и для обеспечения безопасности

Защита частот для связи в случае бедствия и для обеспечения безопасности

Защитные полосы частот

Обязательные радиовахты

Обязательные радиовахты

Вахты, обеспечиваемые аппаратурой

Литература

ГМССБ за три недели - Припотнюк А.В., Дубчук П.С. [2015]

MirMarine
MirMarine – образовательный морской сайт для моряков.
На нашем сайте вы найдете статьи по судостроению, судоремонту и истории мирового морского флота. Характеристики судовых двигателей, особенности устройства вспомогательных механизмов и систем.